SMA头功率容量知识一张图告诉你
您对于sma头功率容量知道多少,如果您想了解sma头的功率容量想相关知识,看完这篇稿子就应该差不多了。仁昊博客频道,每周有工程师固定更新一些专业文章,感兴趣的话可前往查阅,地址://m.entscholar.com/news/。
同轴电缆/接头功率处理是一个复杂的课题,但它可以分解成两种现象。高峰值功率会导致电弧引起的故障,而高平均功率会导致由于热导致的故障。
射频接头的功率承受与尺寸和材料有关,一般不能直接计算。同一种接头,使用材料不同,功率承受也不一样。
This section was greatly improved for August 2017.
Power handling of air coax is a topic that is related to atmospheric breakdown.
Once breakdown occurs, a short circuit is provided across the coax, and Hell breaks loose.
Arcing is caused when the electric field E exceeds a critical value which we will denote Ed for electric field at discharge. In air, the critical field is about 1,000,000 volts/meter, in PTFE it is raised to about 100,000,000. These numbers are approximate, there’s no sense trying to be exact in calculating breakdown, just be sure you avoid it by an order of magnitude or more and you’ll have little to worry about.
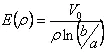
The electric field of a coaxial transmission line varies as a function of position along the radial line from the outer conductor to the inner conductor (denoted “ρ” in the radial coordinate system). You’d have to use calculus to derive this, but we just looked it up in Pozar’s Microwave Engineering.
Now, let’s recall a shortcut equation for coax impedance… the “60” in the equation is a close approximation of η0 (the impedance of free space, ~377 ohms) divided by pi. The equation is accurate to at least three decimal places.
The peak power you can put into a coax under well-matched conditions (low VSWR) is calculated from the peak voltage it can withstand:
Plugging the Z0 equation into the Pmax equation yields:
Now that we have the final equation for maximum peak power handling of coax, we are ready to do some analysis. Remember that this result is only true for a matched load. If you accidentally broke a connection to a high-power transmitter, you’d see a very high VSWR, in that case the peak voltage could double. If you need to consider this type of mishap, you want to further de-rate your power handling by 6 dB.
Now let’s look at some coax examples… how about the air dielectric 50-ohm connectors? The breakdown strength of air 3,300,000 volts/meter according to Wikipedia, but that is at “dry air” at standard temperature and pressure, between spherical electrodes. Let’s use 1,000,000 volts/meter.
Before we move on to average power handling of coax, let’s look at power handing as a function of line impedance for air coax, which is part of the “coax compromise” that led to the fifty ohm standard. If you allow the center diameter freedom to move away from 50 ohms, you’ll see that maximum peak power handling occurs at ~30 ohms.
New for August 2017: additional thoughts on this. Peak power handling of air coax may not be at 30 ohms, if you consider another limitation. Suppose you are operating very close to the cut-off of the unwanted TE11 mode. Heck, let’s assume you want to operate exactly at TE11 cut-off. TE11 cuts off when (b+a)*pi is equal to operating wavelength. To cut to the punch line, at TE11 cut-off, 44 ohms carries the most power. You can find this fun fact and many more in Introduction to Microwaves by Gershon J. Wheeler, dating back to 1963.
For September 2017, we created a new page and posted the math behind the 44 ohm absolute maximum peak power handling calculation, it included two solutions: one is brute force, the other is elegant. At least they agree!
Average power handling
Average power causes failure due to heat, as opposed to arcing. Cable vendors provide some guidance on average power handling, but there is a lot of voodoo involved. Basically, you don’t want the center conductor to heat up so much that it compromises the integrity of the cable. In the old days, cable vendors might have derived power handling ratings experimentally.
The dissipated power per length is the variable you need to consider, and you will need to note that dissipation is a function of frequency, with the metal loss term being proportional to SQRT(f). Thus, a cable that can handle 100 watts at 4 GHz is only good for 50 watts at 16 GHz.
You must consider how the cable is cooled, i.e. is there forced air, convection, conduction and/or radiation? What is the air temperature? (It can be much higher than room temperature if it is inside a housing or chassis).
If average power handling is a concern, we are going to recommend that you (or someone who knows what they are doing) perform a thermal analysis using finite-element techniques. If anyone has an example average power handling study, please sent it!
本文由仁昊伟业运营团队编辑整理,文章来源于网络,如有侵权,请及时联系我们,进行删除。若需采购sma阿联酋vs丹麦亚盘 相关产品,请拨打我们的热线电话:0769-81100186,专业工程师辅助您的采购工作。仁昊伟业,是一家主做射频阿联酋vs丹麦亚盘 的厂家,有着丰富的生产经验,产品均通过了ISO认证,符合国际上的环保要求,一年内可享受免费质保的服务,欢迎前来采购。


发表评论
想加入讨论吗?免费贡献!